Standard Deviation Indikator
Mit dem Standard Deviation Indikator (SDV) wird mithilfe der Standardabweichung die Marktvolatilität gemessen. Der Standard Deviation Indikator macht also Aussagen zur Verteilung der Priese rund um einen gleitenden Durchschnitt.
Erklärung
Je größer die Standardabweichung ist, desto volatiler ist der Markt. Die Preise für den betrachteten Basiswert sind dann weiter vom gleitenden Durchschnitt entfern. Liegt dagegen eine geringe Standardabweichung vor, kann von einem wenig volatilen und ruhigen Markt ausgegangen werden. Die Kurse liegen also nah am gleitenden Durchschnitt.
Im Rahmen der technischen Analyse mit dem Standard Deviation Indikator wird außerdem der Ansatz verfolgt, dass sich an einer besonders ruhigen Marktphase wieder eine Phase mit größeren Ausschlägen anschließt und umgekehrt nach besonders hektischen Marktphasen alsbald wieder eine Beruhigung eintreten wird, weil sich die Marktkräfte nach einem Ausgleich drängen.
Dieser Ansatz ist auch Grundlage anderer Indikatoren wie bei den Bollinger Bändern, bei denen der Großteil Kurse durch ein oberes und unteres Band um einen einfachen gleitenden Durchschnitt (SMA) mithilfe Standardverteilung eingegrenzt werden.
Standard Deviation vs. Bollinger Bänder
Mit den Bollinger Bändern können dadurch Aussagen getroffen werden, ob ein Basiswert zu einem bestimmten Zeitpunkt zu teuer und zu günstig gehandelt wird. Konkrete Kauf- oder Verkaufssignale können jedoch nicht abgeleitet werden.
Ähnlich sieht es beim Standard Deviation Indikator aus, der im Grunde genommen kein eigenständiger Indikator ist, sondern nur die Standardabweichung an sich beschreibt. Auch hier lassen sich keine konkreten Tradesignale ableiten.
Selbst wenn in sehr ruhigen Märkten mit wenig Volatilität, davon ausgegangen werden kann, dass sich demnächst wider eine verstärkte Marktaktivität mit einer höheren Volatilität einstellen wird, wäre eine Kaufempfehlung auszusprechen vermessen.
Der Grund liegt darin, dass keine genau sagen kann, wann die erneute Aktivität eintreten wird und mit welcher Stärke sie kommt. Voraussagen aufgrund der Standard Deviation haben daher einen eher spekulativen Charakter und dürfte für die meisten Trader eher ungeeignet sein. Hinzu kommt, dass die bei der Standardabweichung implizit unterstellte Normalverteilung der Börsenkurse kritisch gesehen wird.
Vor- und Nachteile des Standard Deviation Indikator
misst die Volatilität der Kurs um einen Mittelwert
dient zur Bildung anderer Indikatoren wie die Bollinger Bänder
nur vage Aussagen über die zu erwartende Volatilität
keine konkreten Handelsempfehlungen ableitbar
Bildung des Standard Deviation Indikator
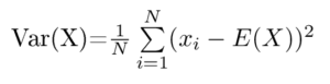
Zunächst muss die Varianz, also die durchschnittliche Abweichung der Kurse vom gleitenden Durchschnitt ermittelt werden. Hierzu wird die Summe der Quadrate aus den Differenzen der tatsächlichen Kurse (x) im Betrachtungszeitraum zum Erwartungswert von x ermittelt. Anstatt des Erwartungswertes kann auch der gleitende Durchschnitt angesetzt werden.

Die Standardabweichung Sigma ist dann die Quadratwurzel aus der Varianz
![]()
Interpretation und Anwendung
Der Standard Deviation Indikator sagt nur etwas darüber aus, wie hoch die Volatilität in einem Markt ist. Liefert die Standardabweichung hohe Werte, heißt das, dass die Kurse volatil sind und Bewegung am Markt herrscht.
Aussagen über die Trendrichtung oder über die Dynamik der Kursbewegungen können nicht getroffen werden. Auch Handelssignale lassen sich nicht ableiten. Es darf jedoch vermutet werden, dass sich nach einer Phase mit einer erhöhten Volatilität wieder eine ruhigere Phase anschließt.
Zeitpunkt und Grad der Beruhigung sind jedoch unbestimmt. Umgekehrt bedeutet ein niedriger Wert für die Standardabweichung eine ruhige Phase mit geringer Volatilität. Auch hier kann vermutet werden, dass sich zu einem unbestimmten Zeitpunkt wieder eine höhere Volatilität einstellen wird, wobei jedoch nichts über die Intensität der Kursbewegungen vorhergesagt werden kann.
Kritik
Viel bietet der Standard Deviation Indikator also nicht. Allerdings eignet er sich als Baustein zur Bildung anderer Indikatoren, wie die Bollinger Bänder. Hier werden mithilfe der Standardabweichungen Bänder beziehungsweise Linien um den gleitenden Durchschnitt eines Kursverlaufs eingezogen.
Damit wird der weit überwiegende Teil der Kurse visuell eingefangen oder umhüllt, woraus sich dann Aussagen ableiten lassen, ob ein Basiswert vergleichsweise teuer gehandelt wird oder eher günstig.
Die bei der Standardabweichung implizit unterstellte Normalverteilung der Börsenkurse wird jedoch von nicht wenigen Experten mittlerweile kritisch gesehen.


Dein Kommentar
An Diskussion beteiligen?Hinterlasse uns Deinen Kommentar!